Telco Customer Churn Prediction & Insights
Using Data Science & Explainable AI to Identify High-Risk Customers and Boost Retention

Concept / Problem
Telecom companies lose millions annually due to customer churn. Predicting which customers are likely to leave helps companies proactively retain them.
In this project, I developed a predictive model to identify high-risk customers and provide actionable insights to reduce churn while protecting recurring revenue.
Approach
- EDA: Explored patterns in churn, tenure, and service usage to uncover trends and anomalies that informed the modeling process.
- Feature Engineering: Created derived features like tenure groups, total services per customer, and high charges flags to improve model performance.
- Modeling: Tested Logistic Regression, Random Forest, and XGBoost. Selected the best-performing model based on accuracy, precision, recall, and ROC-AUC.
- Explainability: Applied SHAP values to identify key drivers of churn for individual customers and overall trends.
- Business Insights: Translated model results into actionable strategies, estimating expected saved revenue and recommending targeted retention campaigns.
Data
7,043 telecom customers with features like gender, seniority, service usage, contract type, payment method, and monthly charges.
The data set includes information about:
Customers who left within the last month
- Services that each customer has signed up for – phone, multiple lines, internet, online security, online backup, device protection, tech support, and streaming TV and movies
- Customer account information – how long they’ve been a customer, contract, payment method, paperless billing, monthly charges, and total charges
- Demographic info about customers – gender, age range, and if they have partners and dependents
- Target variable:
Churn

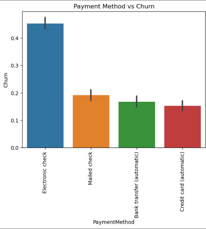
Key Insights & Visuals
- Churn Distibution: Churn rate is 27% overall — a significant business risk, with nearly 1 in 3 customers leaving.
- Demographics: churn more (42%) than younger customers (25%). This signals an at-risk demographic that may need targeted support. customers with partners or dependents are more loyal (churn ~19–20%) compared to those without (churn ~32–33%).
- Tenure: 50%+ of customers in their first 10 months churn, versus less than 15% after 3+ years. Early retention is critical. churners pay a median of ~R80/month vs non-churners ~R64/month, suggesting price sensitivity.
- Contract Type: Month-to-month contracts drive churn (43%), while one-year and two-year contracts retain more (15% and 6% churn respectively).
- Payment Method: Electronic check customers are at highest risk (45% churn) compared to other payment methods (17–20%).











Model Training
- Models: I tested multiple models—Logistic Regression, Random Forest, XGBoost—to predict high-risk customers. After tuning and evaluating with accuracy, precision, recall, and ROC-AUC, XGBoost emerged as the winner with balanced performance. Using SHAP values, I could explain why each customer was flagged, turning predictions into actionable business insights.
Code & Dashboard
- Notebook snippet: EDA
- Notebook snippet: Feature Engineering
- Notebook snippet: Model Training
- Power BI dashboard: Key Influencers, customer segmentation, churn probabilities
- SHAP feature importance visuals
Impact / Results
Model Performance
- Accuracy: 80%
- Precision: 65%
- Recall: 52%
- ROC-AUC: 0.84
Business Impact
- Identified 684 high-risk customers
- Expected saved revenue: R75,537
- Key churn drivers: Fiber-optic internet, month-to-month contracts, electronic check payments
Operational Insights
- Prioritize month-to-month contract holders for retention campaigns
- Flag high monthly charge customers for proactive outreach
- Enable personalized marketing campaigns via segmentation
Next Steps
- Integrate churn prediction into CRM for automated alerts
- Run A/B tests for retention campaigns based on risk segments
- Monitor model performance monthly
Visual highlights from the Power BI dashboard and SHAP plots provide clear, actionable insights for management.

